首页 > 期货从业资格考试题 >正文

2019年期货从业资格考试《期货投资分析》模拟卷(2)

日期: 2019-08-23 15:09:00 作者: 刘小小

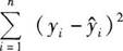
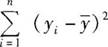
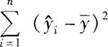
第6题在一元回归中,回归平方和是指()。

A.

B.

C.

D.

参考答案:C

参考解析:A项为总离差平方和,记为TSS;B项为残差平方和,记为RSS;C项为回归平方和,记为ESS。三者之间的关系为:TSS=RSS+ESS。

第7题全球原油贸易均以美元计价,若美元发行量增加,在原油产能达到全球需求极限的情况下,原油价格和原油期货价格将()。

A.下降

B.上涨

C.稳定不变

D.呈反向变动

参考答案:B

参考解析:货币供应量与大宗商品价格变化密切相关。以原油为例,全球原油贸易均以美元计价,美元发行量增加,物价水平总体呈上升趋势,在原油产能达到全球需求极限的情况下,将推动原油价格上涨并带动原油期货价格上扬。

第8题保本型股指联结票据是由固定收益证券与股指期权组合构成的,其中的债券可以看作是()。

A.附息债券

B.零息债券

C.定期债券

D.永续债券

参考答案:B

参考解析:保本型股指联结票据的基本组成部分是固定收益证券和期权多头,其中的债券的利息通常会被剥离出来以作为构建期权多头头寸所需的费用,因此,其中的债券可以看作是零息债券。

第9题基差定价的关键在于()。

A.建仓基差

B.平仓价格

C.升贴水

D.现货价格

参考答案:C

参考解析:如果基差卖方能争取到一个更有利的升贴水B2,使得基差变动△B尽可能大,就可以尽可能多地获得额外收益。这样,基差定价交易中的升贴水BASIS可表示为:BASIS=B2=B1+△B=B1+利润PT。因此,对升贴水高低的确定取决于交易双方谈判能力和技巧,这是基差定价的关键所在。

第10题下列关于国债期货的说法不正确的是()。

A.国债期货仅对组合利率风险的单一因素进行调整,不影响组合持仓

B.国债期货能对所有的债券进行套保

C.国债期货为场内交易,价格较为公允,违约风险低,买卖方便

D.国债期货拥有较高的杠杆,资金占用量较少,可以提高对资金的使用效率

参考答案:B

参考解析:B项,国债期货并不能对所有的债券进行套保,期限不匹配会使套期保值的效果大打折扣。


复制本文地址:http://www.zpgia.com/tbwuw/84.html

免费真题领取
资料真题免费下载